Aktyw Forum

Zarejestruj się na forum.ep.com.pl i zgłoś swój akces do Aktywu Forum. Jeśli jesteś już zarejestrowany wystarczy, że się zalogujesz.

Sprawdź punkty Zarejestruj się

Co to za mostek pomiarowy na opamie UA776 / B176 do PT100 ??

SmialyPJP
-
-
Posty:3
Rejestracja:1 sie 2007, o 19:12
Lokalizacja:Sarzyna / Rzeszów
Kontaktowanie:
Co to za mostek pomiarowy na opamie UA776 / B176 do PT100 ??

Postautor: SmialyPJP » 1 sie 2007, o 20:45

Witam serdecznie!

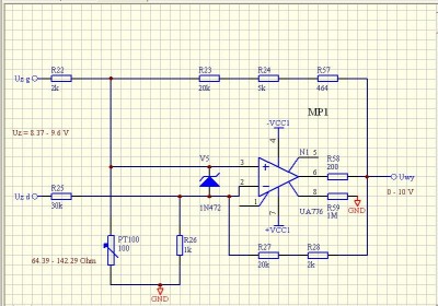
Potrzebuje pomocy w opisaniu działania mostak współpracującego z przetwornikiem T100. Rozwiązanie pochodzi z niemieckiej komory klimatycznej. Zakres napięcia wyjściowego zmienia sie od 0 do 10 V, którego to graniczne wartości reguluje się oddzielnymi napięciami Uzd i Uzg /z zakresu 8.37 do 9.6 V/ - współzależnie.
Schemat układu zamieszczam poniżej.

A teraz opiszę o co dokładnie mi chodzi.
Otóż, znalazłem w literaturze technicznej, że element V5 zabezpiecza wejścia wzmazniacza i że można takowy układ przeanalizować metodą superpozycji. Jednak nie znam tak dobrze działania i praktycznych zastosowań wzmacniaczy operacyjnych by samemu w ten sposób przeanalizować jak To działa. :602:


Proszę Szanownych użytkowników Forum o wyjaśnienie jakie ma zadanie i wpływ na pracę układu dodatnie sprzężenie /rezystory R23 R24 R57/. :609:
Przeglądając notę katalogową nie do końca zrozumiałem funkcję nóżki 8 /Iset/ w tym opamie UA776 alternatywnie B176/. Byłbym bardzo wdzięczny gdyby któryś Użytkownik dysponując jeszcze dodatkową chwilą udzielił odpowiedzi co ten Iset wprowadza /gdy jest zwarta ta nóżka do masy przez rezystor a co gdy wpływa do niej prąd/.

Dziękuje z góry Wszystkim którzy poświęcą swój czas na wyjaśnienie w/w wątku w Forum. :629:
Załączniki
mostek pom ua776.JPG
postek pomiarowy na ua776 lub b176 do pt100

gavi
-
-
Posty:218
Rejestracja:14 kwie 2003, o 15:03
Lokalizacja:Warszawa
Kontaktowanie:

Postautor: gavi » 2 sie 2007, o 08:08

Witam
Wyjaśnienia o które prosisz dotyczą podstaw działania wzmacniaczy operacyjnych - i pomijając celowość takiego tłumaczenia na ogólnym forum - trudno było by dokonać tego w kilku zdaniach.
Wydaje mi się że najlepiej abyś np. przeczytał książkę Piotra Góreckiego wydaną przez BTC - Wzmacniacze operacyjne. Znajdziesz tam odpowiedzi na większość jak nie na wszystkie nurtujące Cię pytania

SmialyPJP
-
-
Posty:3
Rejestracja:1 sie 2007, o 19:12
Lokalizacja:Sarzyna / Rzeszów
Kontaktowanie:

Postautor: SmialyPJP » 2 sie 2007, o 14:54

Dziękuje Gavi za odpowiedź w moim poście.
Faktycznie w wymienionej przez Ciebie książce jest dużo podstawowych informacji przedstawionych w bardzo przejrzysty i logiczny sposób - do tego dość praktycznie. Jak z 4-tego rozdziału pojołem jak działa wzm. nieodwracający, tak przkłady z wzm. odwracającego są dość pobieżnie przedstawione a zadanie do samodzielnego przeanalizowania /rys 1.19a/ potraktowane jest ogródkowo - jedynie rozwiązanie / w informacje podane w Wyjaśnieniu nie naprowadzają nie w ogóle na prawidłowy tor rozumowania i tym samym rozwiązania problemu/. :602:
Przeczytawszy kolejne rozdziały / Podstawowe parametry, Ćw. obowiązkowe i przykłady aplikacji na wzm. operacyjnym/ niestety nie natkonllem się na informacje o stosowaniu sprzężenia w do "dodatniego" wejścia wzmacniacza.
Opisy i przykłady ukladów pracy wzmacniaczy w większości pozycji literaturowych są takie same - nie ma w nich jakichś żadko stosowanych, bądź nawet opisanych przykładów układów których "nie stosować, bo..." czy "taki układ możne, ale ..."

Ponieważ próbowałem przeanalizować przez super pozycję układ wzmacniacza pomiarowego z tematu postu, zastanawiam się:
jaki wpływ na napięcie wejścia odwracającego ma zmiana czujnieka PT100 a tym samym napięcia wyjciowego układu??
Bo za analizując układ od "tyłu" / napięcia wyjściowego, napięcia do zkalibrowania układu wykraczają mi poza zakres Uz.


Bede wdzięczny za uwagi, a w między czasie będe próbował dalej... może jakaś symulacja w PSpice czy Protel.
Pozdrawiam Gavi - Piotr.

radcorp
-
-
Posty:79
Rejestracja:2 sty 2006, o 15:52
Lokalizacja:Polska

Postautor: radcorp » 2 sie 2007, o 19:20

Niestety sprawa nie jest taka prosta jak to w książka piszą.
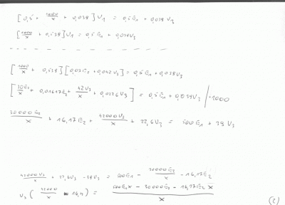
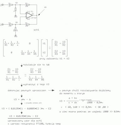
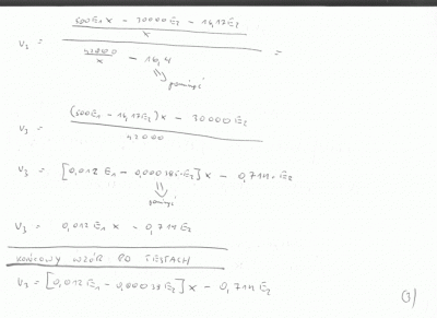
plik 1.gif pokazuję sposób rozwiazania, przyklad ma inne dane i brak jednego rezystora, ale mozna go pominac. W twoim przypadku zmianie ulegna tylko wspolczynniki a i b.
Wzor końcowy obarczony jest pewnym błędem, ale mozna go pominac ze względu na zastosowanie ów czyjnika.
plik uwy_f(x).gif pokazuję sumulację napięcie wyjściowe w funkcji rezystancji PT100
zakres symulacji od 60 do 150 omów.
p01 PT100 = 60
p10 PT100 = 150
jak widać zmienność jest linowa, a wiec wzór jest poprawny.
plik uwy_f(E1)_x=100_T=0C.gif pokazuję sumulację napięcie wyjściowe w funkcji napięcia E1 dla PT100 = 100.
jak widać zmienność jest linowa i zgodna ze wzorem.
plik uwy_f(E2)_x=100_T=0C.gif pokazuję sumulację napięcie wyjściowe w funkcji napięcia E2 dla PT100 = 100.
jak widać zmienność jest linowa i zgodna ze wzorem.

Co do nóżki 8 /Iset/ służy ona do ustawiania wartości prądu luster prądowych w op, co do praktycznego zastosowania ów funkcji to ciężko dokładnie sprecyzować.
Można ją wykorzystać do:
zmniejszenia strat mocy op
wyłączenia wzmacniacza
zmniejszenia pradów wejściowych "wejscie + i - "
i inne cuda wymyślane przez inż.
Załączniki
uwy_f(x).gif
uwy_f(E1)_x=100_T=0C.gif
(7.79KiB)Pobrany 95 razy
uwy_f(E2)_x=100_T=0C.gif
(8.08KiB)Pobrany 101 razy
1.gif

SmialyPJP
-
-
Posty:3
Rejestracja:1 sie 2007, o 19:12
Lokalizacja:Sarzyna / Rzeszów
Kontaktowanie:

Postautor: SmialyPJP » 3 sie 2007, o 19:30

Witaj Radcorp i dziękuję za dołączenie Swojej odpowiedzi na mój problem!

Twoje informacje rzuciły światło z innej strony na problem tego mostka. Widzę, że met. superpozycji zostaje w tyle za potencjałami węzłowymi - o ile się nie mylę.
Proszę Cię jednak o napisanie co kryje się pod współczynnikami a , b, c, d które zastosowałeś przy rozwiązywaniu tego równania /które to rezystancje/ , a już dopasuje w moim schemacie.
I czy rezystor R58 – 200Ohm na wyjściu wzmacniacza ma jakiś wpływ na postać macierzy – jak go uwzględnić ?
Bo próbowałem dziś rozwiązać tę macierz ale nie sprostałem :/. Czy mógłbyś napisać jakiego programu użyłeś do symulacji i generacji wykresów - Pspice czy coś innego?

Wracając dziś znów do lektury książki P. Góreckiego stwierdzam: „zaczyna świtać, ale jeszcze mglisto” .
Na tej podstawie nieśmiało piszę, że ten mój mostek składa się z części która jest przerzutnik Shmitta. Z elementami R22 i PT100 wyznaczającymi napięcie progowe /chyba ze się pomyliłem rezystorami rolę tę spełnia stosunek R25 i R26/ oraz rezystorami wyznaczającymi szerokość pętli histerezy / R23, R24, R57 znów z PT100/.
I tu się znów zastanawiam co ma w/w przerzutnik do mostka pomiarowego?? Przecież w nim wyjście ma zależeć liniowo od elementu czujnika a nie skokowo?!?! Oczywiście mostek pracuje w urządzeniu - i przetwarza linowo, wiec musi tu istnieć inna współzależność. Pozostaje przecież jeszcze sprzężenie zwrotne do wejścia odwracającego …

Moje znów pytanie:
co ono wnosi w stosunku do wzmacniacza operacyjnego i idąc dalej do całego mostka pomiarowego – w jaki /opisowo i we dług jakich wzorów/ współzależny wpływ ma "ujemne" razem z „dodatnim" sprzężeniem zwrotnym na napięcie wyjściowe pod wpływem zmiany rezystancji PT100?? Stosunek R27,R28 do R26 pewnie ustala wzmocnienie…

A propos 8ej nóżki UA776– Iset. Czy możliwe jest by podanie na nią dość dużego prądu /rzędu kilkunastu miliamperów/ może spowodować jego wyłączenie – brak sygnału na wyjściu tego opama?? Np. gdy pracuje jako wtórnik.

Śledząc zmiany na poście czekam ponownie na Wasze wypowiedzi – Radcorp i Gavi, oraz innych Użytkowników forum.
Z góry dziękuje!

radcorp
-
-
Posty:79
Rejestracja:2 sty 2006, o 15:52
Lokalizacja:Polska

Postautor: radcorp » 4 sie 2007, o 21:43

program "CircuitMaker 2000"
R58 macierz urośnie do postaci 3x3, w praktyce można go pominąć -> 100 razy mniejsza wartość niż R23 "zrób sym. z tym rezystorem a zobaczysz że ma mały wpływ +- 100mV ".
sprzężenie zwrotne w tym układzie są dwa sprzężenia jedno + drugie -, ale jak się dobrze przyjrzeć to okaże się, że wypadkowo jest -. Dodatnie sprzężenie powoduję niestabilność układu czyli:
albo powstanie drgań.
albo rżnięcie napięcia zasilania na wyjściu tak jak jest to w przerzutniku Shmitta.
UA776– Iset prąd z tej nogi może tylko wypływać, jeżeli chcesz wyłączyć op to trzeba podłączyć tą nóżkę do + napięcia zasilania (7 noga)
książka daj sobie spokój z szukaniem tego typu układów w książkach.
W każdej książka jest zawsze to samo.
wiadomości wstępne
schemat uA741
schematy układów kompensacyjnych dla uA709 (brak zastosowania praktycznego w dzisiejszych czasach )
ujemne sprzężenie zwrotne
układ odwracający, nieodwracający, sumujący, odejmujący, całka, różniczka, log
dodatnie sprzężenie zwrotne
przerzutniki, generatory
sprzężenie mieszane
brak
Załączniki
Image1.gif
plik_sym_cir.rar
(2KiB)Pobrany 229 razy
Image2.gif
Image3.gif
Image4.gif

Wróć do „Elektronika - tematy dowolne”

Kto jest online

Użytkownicy przeglądający to forum: Obecnie na forum nie ma żadnego zarejestrowanego użytkownika i 28 gości